진공 시스템에서 가스 방출을 줄일 수 있는 네 가지 주요 방법이 있습니다. 세정 및 베이크아웃, 표면 처리, 패시베이션, 퍼징 및 채우기 등이 있습니다. 이 애플리케이션 노트에서는 이러한 각 방법에 대해 자세히 살펴보겠습니다.
1. 세정 및 베이킹
이러한 기술에는 짧은 시간이 소요되고 대부분 현장에서 개별 부품에 수행되는 비교적 간단한 방법이 포함됩니다. 거칠고 미세한 표면 오염에 효과적이며 기체 방출율을 50%에서 10배까지 줄일 수 있습니다. 낮은 탈기체 속도를 달성하고 UHV에 도달하려면 적절한 재료 준비가 필수적입니다.
기체방출율을 줄이기 위해 세척 후 베이크아웃 해야 합니다. 재료 준비가 시작되면 항목을 신중하게 취급하는 것이 중요합니다. 예를 들어 지문이 탈착되는데 며칠이 걸리는데 이와 같이하면 오염을 방지할 수 있습니다. 습기에 노출되는 시간은 가능한 한 제한해야 합니다.

2. 표면처리
표면 처리는 거칠기를 줄임으로써 순 표면적을 감소시킨다; 가장 일반적인 기술은 기계적 연마와 전해 연마이다.
전해 연마는 비정질 표면층을 순서화 된 산화물 층으로 대체하는 반면, 기계적 연마는 일반적으로 총 오염물을 제거하기 위해 사용되는 최초의 재료 처리 중 하나 이다. 전해 연마는 특히 수소/탄화 수소에 효과적이다. 표면 거칠기 감소의 순 효과는 아래의 도표 2에 나와 있습니다.

3. 부동태화
코팅을 통한 부동태화는 오염물 흡착 및 침투에 대한 장벽층을 생성합니다. 코팅은 일반적으로 상승된 온도(200-500°C)에서 CVD, PVD 또는 스퍼터 코팅을 통해 적용되며 다음과 같은 방법이 있습니다:
- 패시브 - 간단한 장애물
- 활성 - 챔버에서 가스(H2, CO, H2O, O2 및 N2)를 펌핑하여 트랩 합니다. 이러한 (비증발성 게터) 코팅은 표면 부위를 자유롭게 유지하기 위해 열에 의해 주기적으로 활성화되어야 합니다.

4. Purging and backfilling
챔버를 통과하는 건조 가스의 지속적인 흐름은 오염을 제거하고 수증기 농도를 감소시킬 수 있습니다. 짧은 숙청만으로도 아웃개싱을 줄이는 데 효과적이다. 퍼지 흐름이 멈춘 후 몇 시간 내에 습도가 30% 이상으로 상승할 수 있습니다. 그래프에서 이러한 효과를 볼 수 있습니다.
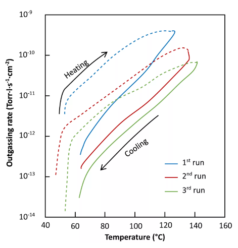
또한 그림 4와 같이 N2로 채우거나 환기를 통해 대기까지 정기적으로 도달하는 시스템의 수증기를 줄일 수 있습니다. 비교적 새로운 베이크아웃/퍼징 기법은 베이크아웃 동안 불활성 가스 펌핑/퍼징 사이클을 사용하며 그림 5와 같이 더 빠른 베이크아웃을 제공합니다.


출처: 에드워드진공
'진공 개요' 카테고리의 다른 글
| 극초고진공(XHV)은 컴퓨팅 에너지 비용을 줄이고 실온 양자 컴퓨팅을 발전 시킵니다. (2) | 2025.01.27 |
|---|---|
| 가상 누출: 형성, 감지 및 회피 (0) | 2024.12.03 |
| 진공 시스템에서의 수소: 개요 (5) | 2024.11.18 |
| 열 에너지는 완전한 진공상태를 통과할 수 있습니다. (3) | 2023.10.30 |
| UHV 및 XHV 레벨을 달성하고 유지하는 방법 (1) | 2023.10.19 |